The following notes have been taken from Tom Seeley’s Wisdom of the Hive
The division of labour
Water
The nectar sector’s activity is supply driven while the water sector’s activity is demand driven.
This contrast surely underlies many of the organizational differences between these two parts of a colony’s economy.
For example, a colony maintains a store of nectar, but not of water, inside its hive. A water collector probably acquires information about her colony’s need for water, and thus whether she should continue or stop her collecting activity, by noting one or more variables of her unloading experience each time she returns to the hive.
The greater the need, the quicker she is able to start her unloading, the sooner she can end her unloading, the fewer encounters she has with hive bees refusing her water load, and the more bees she has unloading her simultaneously.
A water collector experiences faster, easier unloadings when her colony’s water need is high. These unloadings slow down as the need for more water wanes.
A honey bee colony gathers water for two purposes: lowering the broodnest temperature through evaporative cooling and preparing food with proper water content for the larval brood.
Thus a colony’s water need rises both on hot days, when overheating threatens, and on cool days, when nectar foraging is hampered.
The bees that collect water are a tiny subset (less than 1%) of the foragers. What determines whether a forager takes up water collection, as opposed to nectar or pollen collection, remains unknown.
Water collectors often perform the task for many days in a row, and will sometimes specialize exclusively in water collection, making many collecting trips per day so long as the water need persists.
Recent experiments indicate that the additional water receivers come partly from the ranks of nectar receivers that switch to water reception and partly from the ranks of middle-aged bees (not young nurse bees) that are not nectar receivers.
Evidently, a colony relies on a reserve supply of labor among the middle-aged bees that it can use as a source of additional water receivers. This ability apparently explains why a colony can massively increase its water collection without having to simultaneously decrease its nectar collection.
The ability to modulate water collection independently of nectar collection no doubt helps a colony to accumulate all the honey it needs for winter survival.
Comb building
The synthesis of 1 g of beeswax consumes at least 6 g of honey (Hepburn 1986)
Comb construction in honey bee colonies presents us with puzzles about the controls of the timing and the amount of a production process.
A honey bee colony constructs two distinct types of comb—worker and drone —and it rather precisely limits the drone comb to some 15% of the total comb within its hive.
To date, the best information on which bees build comb comes from a study published nearly 70 years ago by G.A. Rösch, a student of Karl von Frisch. In essence, Rösch (1927) identified the age group to which the comb builders belong.
The age range of peak wax gland development, 10–18 days, matches that of the bees most commonly found in a building cluster. Based on data published in Rösch 1927.
All things considered, it seems to make good sense that a colony’s continued comb building depends only on the continuation of a strong flow of nectar into the hive.
The amount of comb built by a colony is controlled mainly by the duration, and perhaps also the intensity, of the nectar flow that stimulates the colony to build comb.
Thus the conditions of high nectar influx and nearly full honeycombs will trigger comb building only if other conditions are also fulfilled: the colony is neither preparing to swarm nor preparing to overwinter.
Park (1923) demonstrated that when there is insufficient space for the food-storer bees to store the incoming nectar, these bees will be forced to retain nectar in their honey stomachs, and the prolonged distension of the honey stomach triggers the secretion of wax and the construction of comb.
Kelley (1991) suggested that the critical stimulus is a difficulty in finding cells in which to deposit nectar. According to this hypothesis, the food storers begin building comb when the storing of nectar reaches a certain level of difficulty. This mechanism would enable the bees to begin to solve the storage space problem before it becomes acute.
There is now good evidence that a colony with much empty comb will gather nectar at a higher rate, compared with a colony with little empty comb, all else being equal. Extensive empty comb in a colony’s hive does excite the colony’s foragers to work more vigorously. This response may be an adaptation to help colonies avoid starvation.
Natural selection may have shaped bees to respond to extreme shortages of food, indicated by large quantities of empty comb inside their hives, by temporarily adjusting the foraging strategy to maximize the rate, not the efficiency, of nectar collection.
Pollen Collection
A colony’s rate of pollen collection ( C ) is a function of three variables: C = N L/ T where N is the number of foragers engaged in pollen collection, L is the mean pollen load gathered on a foraging trip, and T is the average foraging trip time for a pollen forager.
Evidently, pollen foragers can adjust all three variables in accordance with their colony’s pollen reserve.
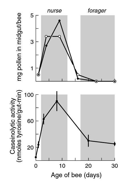
A Comparison between nurses and foragers in terms of the pollen content and the caseinolytic (breakdown of protein) activity of a bee’s midgut, the site of pollen digestion shows that the much higher values for nurses indicate that they are the bees in a colony mainly responsible for digesting pollen.
The complex control system that is actually found in a honey bee colony involves indirect negative feedback from the pollen reserve to the foragers by means of the nurse bees, which consume the pollen and feed proteinaceous food to the foragers.
Foragers apparently sense the state of their protein nutrition and adjust their pollen collection accordingly. The larger the pollen reserve, the greater the pollen consumption by the nurses, the better the protein nutrition of the foragers, and the more the foragers are inhibited from further pollen collection.
Preliminary evidence suggests that the inhibitory cue is the proteinaceous hypopharyngeal gland secretion of nurses, some of which is fed to the foragers
Observations for the beekeeper:
1. Adding too much space before a nectar flow can cause the bees to work more vigorously and collect more nectar resulting in a bigger yield of honey. Conversely the foragers lifespan is shortened and the colony must raise more bees than it might otherwise do. This may give rise for the need to re-queen more often
2. The conditions of high nectar influx and nearly full honeycombs will trigger comb building only if other conditions are also fulfilled: the colony is neither preparing to swarm nor preparing to overwinter. This explains why a swarm will create plenty of comb in a nectar flow which can be simulated by feeding syrup. It can also be used to make the bees create comb from oil seed rape nectar when it is in flow, by adding boxes of foundation
3. The nurse bees process the majority of the pollen brought into the hive, so if lots of bees are seen entering the hive with pollen it can indicate that larvae are being raised. It could also mean that the bees are replenishing pollen stores, however, as the bees only fly when the temperature is above 10 degrees C then it is also likely that they are rearing brood.
4. The nectar sector’s activity is supply driven while the water sector’s activity is demand driven. This means that water can be collected as and when it is needed with no need to store it. There are forager bees allocated for this purpose such that the nectar and pollen foraging is not affected. This might go some way to explain what those bees milling about are doing…they are waiting.
